¤³¤ì¤Þ¤Ç¤Î¥ê¥ó¥¯¢Í¡¡¡ÚÅìÆüËÜÊÔ¡Û¡¡¡ÚÀ¾ÆüËÜÊÔ¡Û
¤¤¤è¤¤¤èº£²ó¤Ç¶å½£Áí¹çÄÌ¿®¶É¤È²ÆìÁí¹çÄÌ¿®»ö̳½ê´ÉÆâ¤ÎÃϾå¥Ç¥¸¥¿¥ë¥Æ¥ì¥ÓÊüÁ÷¤ÎÁ÷¿®½ê¤ÈÃæ·Ñ¶É¤Î¤¦¤Á¡¢¿Æ¶É¤ª¤è¤Ó¡Ö¥×¥é¥ó¶É¡×(¾ÜºÙ¤Ë¤Ä¤¤¤Æ¤Ï¥ê¥ó¥¯À軲¾È)¤È¸Æ¤Ð¤ì¤ë¤â¤Î¤ò¼çÍ׶ɤȤ·¤Æ°·¤¤¡¢¼Â¸úíÕ¼ÍÅÅÎÏ(ERP)¤Ë¤Ä¤¤¤Æ¤Þ¤È¤á¡¢¤³¤ì¤ÇÁ´¹ñ¤ÎÌÖÍå¤È¤Ê¤ë¡£
(Áí̳¾Ê¡¡ÅÅÇÈÍøÍÑ¥Û¡¼¥à¥Ú¡¼¥¸ | ̵Àþ¶ÉÅù¾ðÊ󸡺÷¤ò´ð¤ËºîÀ®¡¢Âçʬ¤ÈµÜºê¤Î̱ÊüÂè2ÇȤÏFNS·ÏÎó¤È¤·¤Æ·ÇºÜ)
¤¢¤¯¤Þ¤Ç¤â´ð´´ÊüÁ÷ÍѼþÇÈ¿ô»ÈÍѷײè¤Îɽ¤Ë·ÇºÜ¤µ¤ì¤ëÁ÷¿®¾ì½ê¤òÃÏ̾¤Ë»²¹Í¤Ë»È¤Ã¤¿¤Î¤Ç¡¢¤´ÍƼϤò¡£
»ÈÍѤ¹¤ëºÝ¤Ïɬ¤ºÁí̳¾Ê¤Î¥Û¡¼¥à¥Ú¡¼¥¸¤È¾È¤é¤·¹ç¤ï¤»¤Æ¤¯¤À¤µ¤¤¡£
¤³¤ì¥³¥Ô¥Ú¤·¤Æ²¿¤«Â»³²¤¢¤Ã¤Æ¤âÀÕǤÉ餤¤Þ¤»¤ó¡£
»ñÎÁÊÔ
Á´¹ñ¤Î¼çÍ×¶É(¿Æ¶É¡¦¥×¥é¥ó¶É)¤Î¼Â¸úíÕ¼ÍÅÅÎÏ(ERP)¤¬¤Þ¤È¤Þ¤Ã¤¿¤È¤³¤í¤Ç¡¢³ÆÊüÁ÷»ö¶È¼Ô·Ï¤´¤È¤ÎERP¤Î¾å°Ì10¶É¤Î¥é¥ó¥¥ó¥°¤òɽ¤Ë¤·¤Æ¤ß¤¿¡£
¤µ¤¹¤¬¤ËÁ÷¿®½ÐÎϼ«ÂΤ¬Â礤¤¿Æ¶É¤ª¤è¤Ó¡¢NHK¤¬¿Æ¶É¤òÀßÃÖ¤¹¤ëÁ÷¿®¾ì½ê¤ÈƱ°ÌÃÖ¤Î̱Êü¤ÎÃæ·Ñ¶É¤Ð¤«¤ê¤¬¥é¥ó¥¯¥¤¥ó¤·¤¿¡£
(Áí̳¾Ê¡¡ÅÅÇÈÍøÍÑ¥Û¡¼¥à¥Ú¡¼¥¸ | ̵Àþ¶ÉÅù¾ðÊ󸡺÷¤ò´ð¤ËºîÀ®)
¡¡NHK¤ª¤è¤Ó̱Êü5·ÏÎó(NNN¡¢EX¡¢JNN¡¢TXN¡¢FNS)¤Ï¡¢Á÷¿®½ÐÎϤ¬Á´¹ñ¤ÇÍ£°ì¤Î10kW¶É¤Ç¤¢¤ëÅìµþÁ÷¿®½ê(Åìµþ¥¹¥«¥¤¥Ä¥ê¡¼R)¤Î¶É¤¬1°Ì¤òÆÈÀꤷ¡¢³Æ·Ï¤òÁí¹ç¤·¤Æ¤â´ØÅì¹°è·÷¤Î̱Êü¿Æ¶É¤ÈNHKÁí¹ç¤ÈNHK E¥Æ¥ì¤¬1°Ì¤«¤é7°Ì¤Þ¤ÇÆÈÀꤷ¤¿¡£
¡¡¤½¤Î¼¡¤Ë¿©¤¤¹þ¤ó¤Ç¤¤¿¤Î¤Ï¸ÞÂçÅÔ»Ô·÷¤Î¿Æ¶É¤òº¹¤·ÃÖ¤¤¤Æ¡¢¤Ê¤ó¤ÈÊ¡Å縩¤«¤éKFBÊ¡ÅçÊüÁ÷Ê¡Åç(ºû¿¹»³)¿Æ¶ÉÁ÷¿®½ê¤ÈTUF¥Æ¥ì¥Ó¥æ¡¼Ê¡Åç¤Î41,000W¤Ç¤¢¤ë¡£
¡¡³Î¤«¤ËÊ¡ÅçÁ÷¿®½ê¤â¸ÞÂçÅÔ»Ô·÷¤Î¿Æ¶É¤ÈʤÖÁ÷¿®½ÐÎÏ3kW¶É¤À¤¬¡¢Åìµþ°Ê³°¤ÇERP¤¬40kW¤òͤ¨¤ë¤Î¤ÏKFB¤ÈTUF¤Î¤ß¤Ç¤¢¤ê¡¢¤½¤ì¤Ë³¤¯¤Î¤âFTV¡¢FCT¤ÈÊ¡Åç¤Î̱Êü¤Î¿Æ¶É¤Ç¤¢¤Ã¤¿¡£
¡¡°ìÊý¤Ç¡¢Á÷¿®½ÐÎÏ3kW¤ÎÃæ¤ÇÍ£°ì¡¢ERP¤Ç¤Ï¥Ù¥¹¥È10¤Ë¤Þ¤Ã¤¿¤¯¥é¥ó¥¯¥¤¥ó¤·¤Ê¤«¤Ã¤¿¤Î¤¬Ê¡²¬¸©¤ÎÊ¡²¬(Ê¡²¬¥¿¥ï¡¼)¿Æ¶ÉÁ÷¿®½ê¤Ç¤¢¤ë¡£
¡¡Ê¡²¬¿Æ¶É¤ÎERP¤Ï¾¸©¤ÎÁ÷¿®½ÐÎÏ1kW¤Î¿Æ¶É¤ÎERP¤ÈÈæ³Ó¤·¤Æ¤â¾®¤µ¤ÊÃͤȤʤäƤª¤ê¡¢ÆÃ¤ËRKBËèÆüÊüÁ÷Ê¡²¬Á÷¿®½ê¤ÎERP6kW¤Ï¡¢¿Æ¶É¤Ç¤â100W¤Îº´²ì¤äÆÈΩ¶É¤Ê¤É¤ÎÎã³°¤ò½ü¤±¤ÐºÇ¾®µ¬ÌϤÎERP¤Ç¤¢¤ë¡£
¡¡Ê¡²¬¤ÏÁ´¶É¤È¤â¡¢»®ÁÒ»³¤ÎËÌ¶å½£Ãæ·Ñ¶É¤ÎÊý¤¬ERP¤Ç¤ÏÊ¡²¬¥¿¥ï¡¼¤Î¿Æ¶É¤òµÕž¤¹¤ë·ë²Ì¤Ë¤Ê¤Ã¤¿¡£
¡¡¡¡(°ìºâ)¾ðÊóÄÌ¿®¿¶¶½²ñ¤Î¼Â¸úíÕ¼ÍÅÅÎÏ¡ÊERP¡Ë¤Î²òÀâ¤òÆÉ¤ß²ò¤¯¡¡
¡¡°ìÈ̺âÃÄË¡¿Í¾ðÊóÄÌ¿®¿¶¶½²ñ¤Î¥Û¡¼¥à¥Ú¡¼¥¸¤Î¼Â¸úíÕ¼ÍÅÅÎÏ¡ÊERP¡§Effective Radiation Power¡Ë¤Î²òÀâ¤Ç¤Ï¡¢
¤È¤Ê¤Ã¤Æ¤ë¤ó¤À¤¬¡¢Ê¸·Ï¤Î¿Í´Ö¤Ë¤Ï¡Ö¤è¤¯¤ï¤«¤é¤ó¡×¤È¤¤¤¦¤Î¤¬ÀµÄ¾¤Ê¤È¤³¤í¤À¤í¤¦¡£
¡¡ÆÃ¤Ë¡¢¥¢¥Þ¥Á¥å¥¢ÌµÀþ¤ò¤«¤¸¤Ã¤¿¤³¤È¤¬¤¢¤ë¿Í¤Ê¤É¤ò½ü¤±¤Ð¡¢¡Ö18dB¤¬¤Ê¤¼63kW¤Ê¤ó¤À¡×¡¢¤È¤¤¤¦dB¤Î¤È¤³¤í¤¬½é¸«»¦¤·¤À¤È»×¤ï¤ì¤ë¡£
¡¡¤Þ¤¢¡¢dB¤ò¿¿¿ô¤ËÊÑ´¹¤¹¤ë¤Î¤Ï´·¤ì¤ì¤Ð¤Ê¤ó¤È¤Ê¤¯¤ï¤«¤Ã¤Æ¤¯¤ë¤·¡¢¤â¤Ã¤È¾å¼ê¤Ë²òÀ⤷¤Æ¤¯¤ì¤Æ¤ë¥µ¥¤¥È¤¬Â¾¤Ë»³¤Û¤É¤¢¤ë¤Î¤ÇÅö¥Ö¥í¥°¤Ç¤Ï³ä°¦¤µ¤»¤Æ¤¤¤¿¤À¤¯¡£
¡¡ÏäòÌ᤽¤¦¡£
¡¡Îãʸ¤Î¥¹¡¼¥Ñ¡¼¥¿¡¼¥ó¥¹¥¿¥¤¥ë¥¢¥ó¥Æ¥Ê¤ÎÍøÆÀ8.6dB¤È¤Ï¡¢ÀäÂÐÍøÆÀ(dBi)¤Î¤³¤È¤À¡£
¡¡¤³¤ÎdB¤È¤«dBi¤È¤«¤è¤¯¤ï¤«¤é¤ó¤Î¤Ç¡¢ÀäÂÐÍøÆÀ(dBi)¤ò¿¿¿ô¤Î¡ÖÇÜ¿ô¡×¤ËÊÑ´¹¤·¤è¤¦¡ª
¡¡¤Þ¤º¡¢Îãʸ¤Ë¤¢¤ë¡Ö8.6dB-0.6dB=8dB¡×¡¦¡¦¡¦¤³¤Î8dB¤ò¿¿¿ô¤ÎÇÜ¿ô¤Ëľ¤¹¡£
¡¡·×»»¼°¤Ï°Ê²¼¤ÎÄ̤ꡣ

¡¡¤³¤ó¤Ê´¶¤¸¤Ç8dB¤ò¿¿¿ô¤Ë¤¹¤ë¤ÈÌó6.3¤È¤Ê¤ë¡£
¡¡Îãʸ¤Ç"±ÇÁüÁ÷¿®µ¡¤Î½ÐÎÏ10kW"¤Ê¤Î¤Ç¡¢10kW¤ò6.3Çܤˤ¹¤ë¤È¡¢¼Â¸úíÕ¼ÍÅÅÎϤÏ63kW¤È¤Ê¤ë¡£
¡¡°Ê¾å¤¬Ê¸·Ï¤Î»ä¤Ê¤ê¤Ë¹Í¤¨¤¿¡¢¿¿¿ô¤ÎÇÜ¿ô¤ò¡ÖÍøÆÀ¡×¤ÈÄêµÁ¤¹¤ë¹Í¤¨¤Ê¤Î¤À¤¬¡Ä¡Ä¤È¤ê¤¢¤¨¤º¡¢¼ÂºÝ¤ÎÁ÷¿®½ê¤äÃæ·Ñ¶É¤ÇÍѤ¤¤é¤ì¤Æ¤¤¤ë¸Ä¡¹¤Î¥¢¥ó¥Æ¥Ê¤ÎÍøÆÀ¤È»¼º¤ÎÃͤϰìÈ̿ͤˤÏÉÔÌÀ¤Ê¤Î¤Ç¡¢¥¢¥ó¥Æ¥ÊÍøÆÀ-»¼º¤ÎÃͤò¤Ò¤Ã¤¯¤ë¤á¤Æ¡ÖÍøÆÀ(ÇÜ¿ô)¡×¤È¤·¤Æ¹Í¤¨¤ë¤â¤Î¤È¤¹¤ë¡£
¡¡Î㤨¤Ð¡¢¼Â¸úíÕ¼ÍÅÅÎϤ¬7200W¤ÇÁ÷¿®½ÐÎϤ¬500W¤Î¶É¤Î¾ì¹ç¡¢ÍøÆÀ(ÇÜ¿ô)¤Ï7200W¡à500W=14.4ÇܤȤʤ롣
¡¡¤³¤Î¹Í¤¨Êý¤Ç¡¢ÍøÆÀ¤¬Â礤¤Á÷¿®½ê¤ò¥é¥ó¥¥ó¥°¤·¤¿¤â¤Î¤¬²¼É½¤Ë¤Ê¤ë¡£
(Áí̳¾Ê¡¡ÅÅÇÈÍøÍÑ¥Û¡¼¥à¥Ú¡¼¥¸ | ̵Àþ¶ÉÅù¾ðÊ󸡺÷¤ò´ð¤ËºîÀ®)
¡¡¤Ê¤ó¤È¤Ê¤ó¤È¡¢ÍøÆÀÉôÌç¤Ç¤Ï¤ï¤¬¸Î¶¿ÀÄ¿¹¸©¤Î¾åËÌÃæ·Ñ¶É(NHK¤Ï¾åË̱¨Ë¹»ÒÃæ·Ñ¶É)¤ÎÃͤ¬54.0Çܤȼó°Ì¤Ë¤¤¿¤Î¤Ç¤¢¤ë¡£
¤½¤·¤ÆÈ¬¸ÍÃæ·Ñ¶É¤â35.0Çܤȡ¢¤«¤Ê¤ê¾å°Ì¤Ë¿©¤¤¹þ¤ó¤Ç¤¤¿¡£
¡¡¤¿¤·¤«¤Ë¡¢ÅìÆüËÜÊԤǽñ¤¤¤¿ÀÐÀ¤ÎçØÁÒÃæ·Ñ¶É¤Î¤è¤¦¤Ë220ÇܤȤ¤¤¦Â礤ÊÍøÆÀ¤òµÏ¿¤¹¤ë½ê¤â¤¢¤ë¤¬¡¢ÀÄ¿¹¸©¤Î¾åË̤ÈȬ¸Í¤ÎÍøÆÀ¤ÏÁ´¹ñŪ¤Ë¤«¤Ê¤êÂ礤ÊÉôÎà¤À¡£
¡¡Â¾¤Î¾å°Ì¶É¤ò¸«¤ë¤È¡¢¼¯»ùÅ縩¤ÎËíºê¶É¤È¤«¡¢´ØÅì¹°è·÷¤Î¿·Åç¶É¤È¤«¡¢Î¥¤ì¤¿Å礷¤çÉô¤Ø¤ÈÊüÁ÷ÇȤò¥ê¥ì¡¼¤¹¤ë½ÅÍפÊÃæ·Ñ¶É¤â¥é¥ó¥¯¥¤¥ó¤·¤Æ¤¤¤ë¡£
¡¡ÀÄ¿¹¸©¤Î¾ì¹ç¤â¸©¤ÎÃæ±ûÉô¤ËȬ¹ÃÅÄ»³¤¬æà¤¨¡¢ÄÅ·Ú¤ÈÆîÉô¤Î´Ö¤ò·ë¤Ö¤¿¤á¤Ë¤Ï¾åË̤Τ褦¤ÊÂ礤ÊÍøÆÀ¤¬É¬ÍפȤµ¤ì¤ë¤Î¤«¤â¤·¤ì¤Ê¤¤¡£
¡¡¤³¤ÎÍøÆÀ(ÇÜ¿ô)¤Î¹Í¤¨Êý¤Ç¤ÏÊ¡²¬¸©¤ÎRKBËèÆüÊüÁ÷Ê¡²¬(Ê¡²¬¥¿¥ï¡¼)Á÷¿®½ê¤Ï¤ï¤º¤«2Çܤ·¤«¤Ê¤¤¤³¤È¤Ë¤Ê¤ë¡£
¡¡Ê¡²¬¤ÈƱ¤¸Á÷¿®½ÐÎÏ3kW¤Ç¤¢¤ëÊ¡Å縩¤ÎKFBÊ¡ÅçÊüÁ÷Ê¡Åç(ºû¿¹»³)Á÷¿®½ê¤Ê¤é13.7ÇܤǤ¢¤ë¡£
¡¡¼õ¿®¥¢¥ó¥Æ¥Ê¤ËÍøÆÀ¤ÎÀǽº¹¤¬¤¢¤ë¤è¤¦¤Ë¡¢Á÷¿®¥¢¥ó¥Æ¥Ê¤Ë¤âÍøÆÀ¤Ë¤è¤ëÀǽº¹¤Ï¤¢¤ë¤Î¤À¤í¤¦¡£
¡¡¤½¤ó¤Ê¤È¤³¤í¤Ç¡¢º£²ó¤ÎÄù¤á¡£
¢«¥¯¥ê¥Ã¥¯¤Ç¥Ö¥í¥°¥é¥ó¥¥ó¥°¤ËÅêɼ¡ª
¤¤¤è¤¤¤èº£²ó¤Ç¶å½£Áí¹çÄÌ¿®¶É¤È²ÆìÁí¹çÄÌ¿®»ö̳½ê´ÉÆâ¤ÎÃϾå¥Ç¥¸¥¿¥ë¥Æ¥ì¥ÓÊüÁ÷¤ÎÁ÷¿®½ê¤ÈÃæ·Ñ¶É¤Î¤¦¤Á¡¢¿Æ¶É¤ª¤è¤Ó¡Ö¥×¥é¥ó¶É¡×(¾ÜºÙ¤Ë¤Ä¤¤¤Æ¤Ï¥ê¥ó¥¯À軲¾È)¤È¸Æ¤Ð¤ì¤ë¤â¤Î¤ò¼çÍ׶ɤȤ·¤Æ°·¤¤¡¢¼Â¸úíÕ¼ÍÅÅÎÏ(ERP)¤Ë¤Ä¤¤¤Æ¤Þ¤È¤á¡¢¤³¤ì¤ÇÁ´¹ñ¤ÎÌÖÍå¤È¤Ê¤ë¡£
| Á÷¿®¾ì½ê | Á÷¿®½ÐÎÏ (W) | ¼Â¸úíÕ¼ÍÅÅÎÏ(W) | |||||||
| NHK G | NHK E | NNN | ANN | JNN | TXN | FNS | JAITS | ||
| Ê¡²¬ | 3,000 | 6,900 | 7,200 | 6,600 | 6,700 | 6,000 | 6,600 | 6,400 | ¡¡ |
| Ë̶彣 | 1,000 | 9,100 | 8,900 | 8,500 | 8,500 | 8,500 | 8,500 | 8,500 | ¡¡ |
| Âç̶ÅÄ | 10 | 45 | 45 | 41 | 41 | 41 | 41 | 41 | |
| µ×Î±ÊÆ | 30 | 270 | 270 | 300 | 300 | 300 | 300 | 300 | |
| ½¡Áü | 21 | 100 | 100 | 100 | 105 | 100 | 100 | 100 | |
| »åÅç | 30 | 190 | 190 | 190 | 210 | 185 | 190 | 185 | |
| ¹Ô¶¶ | 10 | 51 | 51 | 56 | 56 | 56 | 56 | 56 | |
| º´²ì | 100 | 1,750 | 1,700 | ¡¡ | ¡¡ | ¡¡ | ¡¡ | 1,700 | ¡¡ |
| °ËËüΤ | 100 | 1,100 | 1,100 | 1,900 | |||||
| Æü¥Î·¨ | 20 | 125 | 120 | 92.3 | |||||
| ¸Æ»Ò | 10 | 17 | 17 | 17 | |||||
| ÅâÄÅ | 10 | 56 | 58 | 47.2 | |||||
| Ĺºê | 1,000 | 8,300 | 8,100 | 6,300 | 6,300 | 6,300 | ¡¡ | 6,300 | ¡¡ |
| º´À¤ÊÝ | 1,000 | 7,400 | 7,200 | 8,300 | 8,200 | 8,300 | 9,800 | ||
| ëÝÁá | 10 | 47 | 47 | 46 | 47 | 47 | 46 | ||
| Ê¡¹¾ | 10 | 62 | 62 | 54 | 54 | 54 | 54 | ||
| ¶¿¥Î±º | 30 | 190 | 185 | 280 | 280 | 280 | 280 | ||
| ¸·¸¶ | 30 | 630 | 630 | 340 | 340 | 340 | 970 | ||
| ·§ËÜ | 1,000 | 8,500 | 8,300 | 7,300 | 7,300 | 7,300 | ¡¡ | 7,300 | ¡¡ |
| ¿ÍµÈ | 30 | 10 | 125 | 125 | 105 | 105 | 105 | ||
| ¿åËó | 100 | 1,100 | 1,000 | 980 | 980 | 980 | 980 | ||
| Æî°¤ÁÉ | 10 | 68 | 68 | 68 | 68 | 68 | 68 | ||
| Âçʬ | 1,000 | 8,700 | 8,300 | ¡¡ | 8,700 | 8,300 | ¡¡ | 8,700 | ¡¡ |
| ÃæÄÅ | 40 | 450 | 450 | 450 | 450 | 450 | |||
| º´Çì | 10 | 20 | 20 | 20 | 20 | 18 | |||
| ¹ñÅì | 10 | 50 | 50 | 50 | 50 | 49 | |||
| »°½Å | 10 | 20 | 20 | 20 | 20 | 18 | |||
| ¶ê¼î | 10 | 71 | 71 | 68 | 68 | 68 | |||
| µÜºê | 1,000 | 8,700 | 8,300 | ¡¡ | ¡¡ | 8,700 | ¡¡ | 8,100 | ¡¡ |
| ±ä²¬ | 100 | 870 | 870 | ¡¡ | 810 | 780 | |||
| ¹âÀéÊæ | 10 | 44 | 38 | ¡¡ | 47 | 50 | |||
| ¼¯»ùÅç | 1,000 | 8,100 | 8,400 | 9,100 | 8,600 | 8,900 | ¡¡ | 9,100 | ¡¡ |
| ¼¯²° | 45 | 270 | 270 | 260 | 260 | 260 | 260 | ||
| Ëíºê | 30 | 570 | 510 | 870 | 880 | 870 | 870 | ||
| ¶úÌÚÌî | 10 | 32 | 32 | 30 | 33 | 30 | 30 | ||
| °¤µ×º¬ | 30 | 220 | 220 | 250 | 250 | 250 | 250 | ||
| ̾À¥ | 100 | 550 | 540 | 590 | 590 | 580 | 560 | ||
| À¾Ç·É½ | 30 | 130 | 130 | 115 | 115 | 115 | 115 | ||
| ±Ð°£ | 10 | 30 | 30 | 30 | 27 | 27 | 30 | ||
| ËöµÈ | 10 | 23 | 23 | 28 | 28 | 27 | 30 | ||
| »ÖÉÛ»Ö | 10 | 31 | 31 | 27 | 27 | 28 | 28 | ||
| Æî¼ï»Ò | 10 | 87 | 87 | 87 | 87 | 87 | 87 | ||
| À¥¸ÍÆâ | 50 | 490 | 490 | 520 | 520 | 420 | 520 | ||
| ÆÁÇ·Åç | 30 | 430 | 440 | 560 | 610 | 550 | 610 | ||
| ÃÎ̾ | 30 | 120 | 120 | 100 | 99 | 100 | 100 | ||
| Âç¸ý | 10 | 74 | 74 | 72 | 72 | 72 | 72 | ||
| ³÷À¸ | 10 | 140 | 140 | 160 | 145 | 150 | 145 | ||
| Á÷¿®¾ì½ê | Á÷¿®½ÐÎÏ(W) | NHK G | NHK E | NNN | ANN | JNN | TXN | FNS | JAITS |
| ÆáÇÆ | 1,000 | 10,000 | 10,000 | ¡¡ | 18,000 | 18,500 | ¡¡ | 10,500 | ¡¡ |
| Ê¿ÎÉ | 100 | 1,700 | 1,600 | ¡¡ | 2,700 | 2,700 | ¡¡ | 2,700 | |
| ÀгÀ | 100 | 1,750 | 1,750 | ¡¡ | 1,700 | 1,700 | ¡¡ | 1,700 | |
| ÀîÊ¿ | 30 | 500 | 500 | ¡¡ | 500 | 500 | ¡¡ | 500 | |
| º£µ¢¿Î | 30 | 220 | 220 | ¡¡ | 290 | 290 | ¡¡ | 220 | |
¤¢¤¯¤Þ¤Ç¤â´ð´´ÊüÁ÷ÍѼþÇÈ¿ô»ÈÍѷײè¤Îɽ¤Ë·ÇºÜ¤µ¤ì¤ëÁ÷¿®¾ì½ê¤òÃÏ̾¤Ë»²¹Í¤Ë»È¤Ã¤¿¤Î¤Ç¡¢¤´ÍƼϤò¡£
»ÈÍѤ¹¤ëºÝ¤Ïɬ¤ºÁí̳¾Ê¤Î¥Û¡¼¥à¥Ú¡¼¥¸¤È¾È¤é¤·¹ç¤ï¤»¤Æ¤¯¤À¤µ¤¤¡£
¤³¤ì¥³¥Ô¥Ú¤·¤Æ²¿¤«Â»³²¤¢¤Ã¤Æ¤âÀÕǤÉ餤¤Þ¤»¤ó¡£
»ñÎÁÊÔ
Á´¹ñ¤Î¼çÍ×¶É(¿Æ¶É¡¦¥×¥é¥ó¶É)¤Î¼Â¸úíÕ¼ÍÅÅÎÏ(ERP)¤¬¤Þ¤È¤Þ¤Ã¤¿¤È¤³¤í¤Ç¡¢³ÆÊüÁ÷»ö¶È¼Ô·Ï¤´¤È¤ÎERP¤Î¾å°Ì10¶É¤Î¥é¥ó¥¥ó¥°¤òɽ¤Ë¤·¤Æ¤ß¤¿¡£
¤µ¤¹¤¬¤ËÁ÷¿®½ÐÎϼ«ÂΤ¬Â礤¤¿Æ¶É¤ª¤è¤Ó¡¢NHK¤¬¿Æ¶É¤òÀßÃÖ¤¹¤ëÁ÷¿®¾ì½ê¤ÈƱ°ÌÃÖ¤Î̱Êü¤ÎÃæ·Ñ¶É¤Ð¤«¤ê¤¬¥é¥ó¥¯¥¤¥ó¤·¤¿¡£
| ¼Â¸úíÕ¼ÍÅÅÎÏ(ERP)¥Ù¥¹¥È10 | |||||||||
| ½ç °Ì | NHK G | NHK E | NNN | ANN | JNN | TXN | FNS | JAITS | ½ç °Ì |
| 1 | AKÅìµþ 68,000W | ABÅìµþ 68,000W | NTVÅìµþ 69,000W | EXÅìµþ 69,000W | TBSÅìµþ 69,000W | TXÅìµþ 69,000W | CXÅìµþ 68,000W | tvk²£ÉÍ 12,500W | 1 |
| 2 | IK»¥ËÚ 34,000W | CB̾¸Å²° 33,000W | FCTÊ¡Åç 38,000W | KFBÊ¡Åç 41,000W | TUFÊ¡Åç 41,000W | TVh»¥ËÚ 28,000W | FTVÊ¡Åç 39,000W | MXÅìµþ 11,500W | 2 |
| 3 | CK̾¸Å²° 33,000W | IB»¥ËÚ 33,000W | CTV̾¸Å²° 34,000W | NBN̾¸Å²° 34,000W | CBC̾¸Å²° 34,000W | TVOÂçºå 21,000W | THK̾¸Å²° 34,000W | MTVÄÅ 7,900W | 3 |
| 4 | FK¹Åç 30,000W | FB¹Åç 32,000W | TeNY¿·³ã 30,000W | HOME¹Åç 30,000W | RCC¹Åç 30,000W | TSC²¬»³ 20,000W | TSS¹Åç 32,000W | SUN¿À¸Í 5,890W | 4 |
| 5 | FPÊ¡Åç 30,000W | FDÊ¡Åç 30,000W | HTV¹Åç 30,000W | HTB»¥ËÚ 27,000W | BSN¿·³ã 29,000W | TVh°°Àî 13,500W | OXÀçÂæ 30,000W | TVS¤µ¤¤¤¿¤Þ 5,800W | 5 |
| 6 | QK¿·³ã 26,000W | KB²¬»³ 26,000W | MMTÀçÂæ 28,000W | KHBÀçÂæ 27,000W | HBC»¥ËÚ 28,000W | TVh¼¼Íö 12,500W | NST¿·³ã 30,000W | KBSµþÅÔ 4,900W | 6 |
| 7 | BKÂçºå 24,000W | QB¿·³ã 26,000W | STV»¥ËÚ 27,000W | UX¿·³ã 27,000W | MBSÂçºå 24,000W | TVhÌÖÁö 11,000W | KTVÂçºå 29,000W | CTCÀéÍÕ 4,200W | 7 |
| 8 | KK²¬»³ 24,000W | BBÂçºå 25,000W | ytvÂçºå 24,000W | ABCÂçºå 24,000W | RSK²¬»³ 23,000W | TVhÈ¡´Û 10,500W | UHB»¥ËÚ 27,000W | TVNÆàÎÉ 2,300W | 8 |
| 9 | HKÀçÂæ 24,000W | HBÀçÂæ 24,000W | YBC»³·Á 21,000W | KSB²¬»³ 23,000W | TBCÀçÂæ 22,000W | TVhÂÓ¹ 9,800W | OHK²¬»³ 24,000W | GBS´ôÉì 1,450W | 9 |
| 10 | JG»³·Á 17,500W | IZ¼¼Íö 17,900W | RNC²¬»³ 20,000W | YTS»³·Á 21,000W | TUY»³·Á 21,000W | TVQË̶彣 8,500W | SAY»³·Á 21,000W | GYT±§Å﵆ 760W | 10 |
¡¡NHK¤ª¤è¤Ó̱Êü5·ÏÎó(NNN¡¢EX¡¢JNN¡¢TXN¡¢FNS)¤Ï¡¢Á÷¿®½ÐÎϤ¬Á´¹ñ¤ÇÍ£°ì¤Î10kW¶É¤Ç¤¢¤ëÅìµþÁ÷¿®½ê(Åìµþ¥¹¥«¥¤¥Ä¥ê¡¼R)¤Î¶É¤¬1°Ì¤òÆÈÀꤷ¡¢³Æ·Ï¤òÁí¹ç¤·¤Æ¤â´ØÅì¹°è·÷¤Î̱Êü¿Æ¶É¤ÈNHKÁí¹ç¤ÈNHK E¥Æ¥ì¤¬1°Ì¤«¤é7°Ì¤Þ¤ÇÆÈÀꤷ¤¿¡£
¡¡¤½¤Î¼¡¤Ë¿©¤¤¹þ¤ó¤Ç¤¤¿¤Î¤Ï¸ÞÂçÅÔ»Ô·÷¤Î¿Æ¶É¤òº¹¤·ÃÖ¤¤¤Æ¡¢¤Ê¤ó¤ÈÊ¡Å縩¤«¤éKFBÊ¡ÅçÊüÁ÷Ê¡Åç(ºû¿¹»³)¿Æ¶ÉÁ÷¿®½ê¤ÈTUF¥Æ¥ì¥Ó¥æ¡¼Ê¡Åç¤Î41,000W¤Ç¤¢¤ë¡£
¡¡³Î¤«¤ËÊ¡ÅçÁ÷¿®½ê¤â¸ÞÂçÅÔ»Ô·÷¤Î¿Æ¶É¤ÈʤÖÁ÷¿®½ÐÎÏ3kW¶É¤À¤¬¡¢Åìµþ°Ê³°¤ÇERP¤¬40kW¤òͤ¨¤ë¤Î¤ÏKFB¤ÈTUF¤Î¤ß¤Ç¤¢¤ê¡¢¤½¤ì¤Ë³¤¯¤Î¤âFTV¡¢FCT¤ÈÊ¡Åç¤Î̱Êü¤Î¿Æ¶É¤Ç¤¢¤Ã¤¿¡£
¡¡°ìÊý¤Ç¡¢Á÷¿®½ÐÎÏ3kW¤ÎÃæ¤ÇÍ£°ì¡¢ERP¤Ç¤Ï¥Ù¥¹¥È10¤Ë¤Þ¤Ã¤¿¤¯¥é¥ó¥¯¥¤¥ó¤·¤Ê¤«¤Ã¤¿¤Î¤¬Ê¡²¬¸©¤ÎÊ¡²¬(Ê¡²¬¥¿¥ï¡¼)¿Æ¶ÉÁ÷¿®½ê¤Ç¤¢¤ë¡£
¡¡Ê¡²¬¿Æ¶É¤ÎERP¤Ï¾¸©¤ÎÁ÷¿®½ÐÎÏ1kW¤Î¿Æ¶É¤ÎERP¤ÈÈæ³Ó¤·¤Æ¤â¾®¤µ¤ÊÃͤȤʤäƤª¤ê¡¢ÆÃ¤ËRKBËèÆüÊüÁ÷Ê¡²¬Á÷¿®½ê¤ÎERP6kW¤Ï¡¢¿Æ¶É¤Ç¤â100W¤Îº´²ì¤äÆÈΩ¶É¤Ê¤É¤ÎÎã³°¤ò½ü¤±¤ÐºÇ¾®µ¬ÌϤÎERP¤Ç¤¢¤ë¡£
¡¡Ê¡²¬¤ÏÁ´¶É¤È¤â¡¢»®ÁÒ»³¤ÎËÌ¶å½£Ãæ·Ñ¶É¤ÎÊý¤¬ERP¤Ç¤ÏÊ¡²¬¥¿¥ï¡¼¤Î¿Æ¶É¤òµÕž¤¹¤ë·ë²Ì¤Ë¤Ê¤Ã¤¿¡£
¡¡¡¡(°ìºâ)¾ðÊóÄÌ¿®¿¶¶½²ñ¤Î¼Â¸úíÕ¼ÍÅÅÎÏ¡ÊERP¡Ë¤Î²òÀâ¤òÆÉ¤ß²ò¤¯¡¡
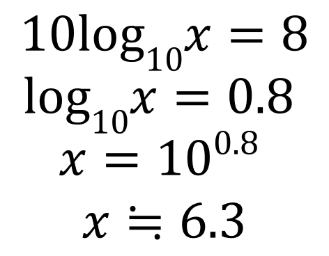
¡¡°ìÈ̺âÃÄË¡¿Í¾ðÊóÄÌ¿®¿¶¶½²ñ¤Î¥Û¡¼¥à¥Ú¡¼¥¸¤Î¼Â¸úíÕ¼ÍÅÅÎÏ¡ÊERP¡§Effective Radiation Power¡Ë¤Î²òÀâ¤Ç¤Ï¡¢
¡È±ÇÁüÁ÷¿®µ¡¤Î½ÐÎÏ10kW¡Ê10dB¡Ë¡¢µëÅÅÀþ»¼º0.6dB¡¢¥¹¡¼¥Ñ¥¿¡¼¥ó¥¹¥¿¥¤¥ë¥¢¥ó¥Æ¥ÊÍøÆÀ8.6dB¤Î¾ì¹ç¤Ï¡¢ 10dB¡Ý0.6dB¡Ü8.6dB¡á18dB¤È¤Ê¤ê¡¢¼Â¸úíÕ¼ÍÅÅÎϤÏ63kW¡Ê48dBW¡Ë¡É
¤È¤Ê¤Ã¤Æ¤ë¤ó¤À¤¬¡¢Ê¸·Ï¤Î¿Í´Ö¤Ë¤Ï¡Ö¤è¤¯¤ï¤«¤é¤ó¡×¤È¤¤¤¦¤Î¤¬ÀµÄ¾¤Ê¤È¤³¤í¤À¤í¤¦¡£
¡¡ÆÃ¤Ë¡¢¥¢¥Þ¥Á¥å¥¢ÌµÀþ¤ò¤«¤¸¤Ã¤¿¤³¤È¤¬¤¢¤ë¿Í¤Ê¤É¤ò½ü¤±¤Ð¡¢¡Ö18dB¤¬¤Ê¤¼63kW¤Ê¤ó¤À¡×¡¢¤È¤¤¤¦dB¤Î¤È¤³¤í¤¬½é¸«»¦¤·¤À¤È»×¤ï¤ì¤ë¡£
¡¡¤Þ¤¢¡¢dB¤ò¿¿¿ô¤ËÊÑ´¹¤¹¤ë¤Î¤Ï´·¤ì¤ì¤Ð¤Ê¤ó¤È¤Ê¤¯¤ï¤«¤Ã¤Æ¤¯¤ë¤·¡¢¤â¤Ã¤È¾å¼ê¤Ë²òÀ⤷¤Æ¤¯¤ì¤Æ¤ë¥µ¥¤¥È¤¬Â¾¤Ë»³¤Û¤É¤¢¤ë¤Î¤ÇÅö¥Ö¥í¥°¤Ç¤Ï³ä°¦¤µ¤»¤Æ¤¤¤¿¤À¤¯¡£
¡¡ÏäòÌ᤽¤¦¡£
¡¡Îãʸ¤Î¥¹¡¼¥Ñ¡¼¥¿¡¼¥ó¥¹¥¿¥¤¥ë¥¢¥ó¥Æ¥Ê¤ÎÍøÆÀ8.6dB¤È¤Ï¡¢ÀäÂÐÍøÆÀ(dBi)¤Î¤³¤È¤À¡£
¡¡¤³¤ÎdB¤È¤«dBi¤È¤«¤è¤¯¤ï¤«¤é¤ó¤Î¤Ç¡¢ÀäÂÐÍøÆÀ(dBi)¤ò¿¿¿ô¤Î¡ÖÇÜ¿ô¡×¤ËÊÑ´¹¤·¤è¤¦¡ª
¡¡¤Þ¤º¡¢Îãʸ¤Ë¤¢¤ë¡Ö8.6dB-0.6dB=8dB¡×¡¦¡¦¡¦¤³¤Î8dB¤ò¿¿¿ô¤ÎÇÜ¿ô¤Ëľ¤¹¡£
¡¡·×»»¼°¤Ï°Ê²¼¤ÎÄ̤ꡣ

¡¡¤³¤ó¤Ê´¶¤¸¤Ç8dB¤ò¿¿¿ô¤Ë¤¹¤ë¤ÈÌó6.3¤È¤Ê¤ë¡£
¡¡Îãʸ¤Ç"±ÇÁüÁ÷¿®µ¡¤Î½ÐÎÏ10kW"¤Ê¤Î¤Ç¡¢10kW¤ò6.3Çܤˤ¹¤ë¤È¡¢¼Â¸úíÕ¼ÍÅÅÎϤÏ63kW¤È¤Ê¤ë¡£
¡¡°Ê¾å¤¬Ê¸·Ï¤Î»ä¤Ê¤ê¤Ë¹Í¤¨¤¿¡¢¿¿¿ô¤ÎÇÜ¿ô¤ò¡ÖÍøÆÀ¡×¤ÈÄêµÁ¤¹¤ë¹Í¤¨¤Ê¤Î¤À¤¬¡Ä¡Ä¤È¤ê¤¢¤¨¤º¡¢¼ÂºÝ¤ÎÁ÷¿®½ê¤äÃæ·Ñ¶É¤ÇÍѤ¤¤é¤ì¤Æ¤¤¤ë¸Ä¡¹¤Î¥¢¥ó¥Æ¥Ê¤ÎÍøÆÀ¤È»¼º¤ÎÃͤϰìÈ̿ͤˤÏÉÔÌÀ¤Ê¤Î¤Ç¡¢¥¢¥ó¥Æ¥ÊÍøÆÀ-»¼º¤ÎÃͤò¤Ò¤Ã¤¯¤ë¤á¤Æ¡ÖÍøÆÀ(ÇÜ¿ô)¡×¤È¤·¤Æ¹Í¤¨¤ë¤â¤Î¤È¤¹¤ë¡£
¡¡Î㤨¤Ð¡¢¼Â¸úíÕ¼ÍÅÅÎϤ¬7200W¤ÇÁ÷¿®½ÐÎϤ¬500W¤Î¶É¤Î¾ì¹ç¡¢ÍøÆÀ(ÇÜ¿ô)¤Ï7200W¡à500W=14.4ÇܤȤʤ롣
¡¡¤³¤Î¹Í¤¨Êý¤Ç¡¢ÍøÆÀ¤¬Â礤¤Á÷¿®½ê¤ò¥é¥ó¥¥ó¥°¤·¤¿¤â¤Î¤¬²¼É½¤Ë¤Ê¤ë¡£
| ÍøÆÀ(ÇÜ¿ô)¥Ù¥¹¥È10 | |||||||||
| ½ç °Ì | NHK G | NHK E | NNN | ANN | JNN | TXN | FNS | JAITS | ½ç °Ì |
| 1 | TG¾åËÌ 54.0ÇÜ | TC¾åËÌ 54.0ÇÜ | RAB¾åËÌ 47.0ÇÜ | ABA¾åËÌ 54.0ÇÜ | ATV¾åËÌ 45.0ÇÜ | TVhÆÑ¾®ËÒ 34.0ÇÜ | UHBÆÑ¾®ËÒ 34.0ÇÜ | MX¿·Åç 24.7ÇÜ | 1 |
| 2 | IQÆÑ¾®ËÒ 42.0ÇÜ | IZÆÑ¾®ËÒ 42.0ÇÜ | RABȬ¸Í 35.0ÇÜ | ABAȬ¸Í 35.0ÇÜ | ATVȬ¸Í 35.0ÇÜ | TSCÆâ³¤ 25.0ÇÜ | KTN¸·¸¶ 32.3ÇÜ | GYTÂçÅĸ¶ 24.0ÇÜ | 2 |
| 3 | TGȬ¸Í 35.0ÇÜ | TCȬ¸Í 35.0ÇÜ | STVÆÑ¾®ËÒ 32.0ÇÜ | HTBÆÑ¾®ËÒ 32.0ÇÜ | HBCÆÑ¾®ËÒ 32.0ÇÜ | TX¿·Åç 24.7ÇÜ | KTSËíºê 29.0ÇÜ | TVNÆàÎÉ 23.0ÇÜ | 3 |
| 4 | LGÊÆ»Ò 33.0ÇÜ | LCÊÆ»Ò 33.0ÇÜ | KYTËíºê 29.0ÇÜ | KKBËíºê 29.3ÇÜ | MBCËíºê 29.0ÇÜ | TXÂçÅĸ¶ 22.0ÇÜ | OTVÊ¿ÎÉ 27.0ÇÜ | SUNÌÀÀÐ 20.0ÇÜ | 4 |
| 5 | HPºä½Ð 30.0ÇÜ | HDºä½Ð 30.0ÇÜ | RNCÆâ³¤ 25.0ÇÜ | QABÊ¿ÎÉ 27.0ÇÜ | RBCÊ¿ÎÉ 27.0ÇÜ | TVh¿¼Àî 21.0ÇÜ | OHKÆâ³¤ 25.3ÇÜ | WTV¿·µÜ 20.0ÇÜ | 5 |
| 6 | HPÆâ³¤ 25.0ÇÜ | HDÆâ³¤ 25.0ÇÜ | NTV¿·Åç 24.7ÇÜ | KSBÆâ³¤ 25.0ÇÜ | RNCÆâ³¤ 24.7ÇÜ | TVhÉÍÆÜÊÌ 21.0ÇÜ | CX¿·Åç 24.7ÇÜ | MTVÄÅ 15.8ÇÜ | 6 |
| 7 | AK¿·Åç 24.7ÇÜ | AB¿·Åç 24.7ÇÜ | NTVÂçÅĸ¶ 22.0ÇÜ | EX¿·Åç 24.7ÇÜ | TBS¿·Åç 24.7ÇÜ | TVOÂçºå 21.0ÇÜ | CXÂçÅĸ¶ 22.0ÇÜ | CTCĸ»Ò 15.0ÇÜ | 7 |
| 8 | AKÂçÅĸ¶ 23.0ÇÜ | ZB °ËͽÀÄÅç 22.0ÇÜ | RNB °ËͽÀÄÅç 22.0ÇÜ | EXÂçÅĸ¶ 22.0ÇÜ | TBSÂçÅĸ¶ 22.0ÇÜ | TX ¤«¤¹¤ß¤¬¤¦¤é 19.5ÇÜ | EBC °ËͽÀÄÅç 22.0ÇÜ | GYTÆá¿Ü 14.0ÇÜ | 8 |
| 9 | ZK°ËͽÀÄÅç 22.0ÇÜ | AC¸·¸¶ 21.0ÇÜ | YBC»³·Á 21.0ÇÜ | YTS»³·Á 21.0ÇÜ | TUY»³·Á 21.0ÇÜ | TX³Þ²¬ 17.3ÇÜ | SAY»³·Á 21.0ÇÜ | TVS·§Ã« 13.0ÇÜ | 9 |
| 10 | CG¿¼Àî 22.0ÇÜ | ABÂçÅĸ¶ 21.0ÇÜ | KTK¼î½§ 20.3ÇÜ | HTB¿¼Àî 21.0ÇÜ | MRO¼î½§ 20.3ÇÜ | TX¹âÇë 17.0ÇÜ | UHB¿¼Àî 21.0ÇÜ | tvk²£ÉÍ 12.5ÇÜ | 10 |
¡¡¤Ê¤ó¤È¤Ê¤ó¤È¡¢ÍøÆÀÉôÌç¤Ç¤Ï¤ï¤¬¸Î¶¿ÀÄ¿¹¸©¤Î¾åËÌÃæ·Ñ¶É(NHK¤Ï¾åË̱¨Ë¹»ÒÃæ·Ñ¶É)¤ÎÃͤ¬54.0Çܤȼó°Ì¤Ë¤¤¿¤Î¤Ç¤¢¤ë¡£
¤½¤·¤ÆÈ¬¸ÍÃæ·Ñ¶É¤â35.0Çܤȡ¢¤«¤Ê¤ê¾å°Ì¤Ë¿©¤¤¹þ¤ó¤Ç¤¤¿¡£
¡¡¤¿¤·¤«¤Ë¡¢ÅìÆüËÜÊԤǽñ¤¤¤¿ÀÐÀ¤ÎçØÁÒÃæ·Ñ¶É¤Î¤è¤¦¤Ë220ÇܤȤ¤¤¦Â礤ÊÍøÆÀ¤òµÏ¿¤¹¤ë½ê¤â¤¢¤ë¤¬¡¢ÀÄ¿¹¸©¤Î¾åË̤ÈȬ¸Í¤ÎÍøÆÀ¤ÏÁ´¹ñŪ¤Ë¤«¤Ê¤êÂ礤ÊÉôÎà¤À¡£
¡¡Â¾¤Î¾å°Ì¶É¤ò¸«¤ë¤È¡¢¼¯»ùÅ縩¤ÎËíºê¶É¤È¤«¡¢´ØÅì¹°è·÷¤Î¿·Åç¶É¤È¤«¡¢Î¥¤ì¤¿Å礷¤çÉô¤Ø¤ÈÊüÁ÷ÇȤò¥ê¥ì¡¼¤¹¤ë½ÅÍפÊÃæ·Ñ¶É¤â¥é¥ó¥¯¥¤¥ó¤·¤Æ¤¤¤ë¡£
¡¡ÀÄ¿¹¸©¤Î¾ì¹ç¤â¸©¤ÎÃæ±ûÉô¤ËȬ¹ÃÅÄ»³¤¬æà¤¨¡¢ÄÅ·Ú¤ÈÆîÉô¤Î´Ö¤ò·ë¤Ö¤¿¤á¤Ë¤Ï¾åË̤Τ褦¤ÊÂ礤ÊÍøÆÀ¤¬É¬ÍפȤµ¤ì¤ë¤Î¤«¤â¤·¤ì¤Ê¤¤¡£
¡¡¤³¤ÎÍøÆÀ(ÇÜ¿ô)¤Î¹Í¤¨Êý¤Ç¤ÏÊ¡²¬¸©¤ÎRKBËèÆüÊüÁ÷Ê¡²¬(Ê¡²¬¥¿¥ï¡¼)Á÷¿®½ê¤Ï¤ï¤º¤«2Çܤ·¤«¤Ê¤¤¤³¤È¤Ë¤Ê¤ë¡£
¡¡Ê¡²¬¤ÈƱ¤¸Á÷¿®½ÐÎÏ3kW¤Ç¤¢¤ëÊ¡Å縩¤ÎKFBÊ¡ÅçÊüÁ÷Ê¡Åç(ºû¿¹»³)Á÷¿®½ê¤Ê¤é13.7ÇܤǤ¢¤ë¡£
¡¡¼õ¿®¥¢¥ó¥Æ¥Ê¤ËÍøÆÀ¤ÎÀǽº¹¤¬¤¢¤ë¤è¤¦¤Ë¡¢Á÷¿®¥¢¥ó¥Æ¥Ê¤Ë¤âÍøÆÀ¤Ë¤è¤ëÀǽº¹¤Ï¤¢¤ë¤Î¤À¤í¤¦¡£
¡¡¤½¤ó¤Ê¤È¤³¤í¤Ç¡¢º£²ó¤ÎÄù¤á¡£
¥³¥á¥ó¥È
¥³¥á¥ó¥È°ìÍ÷
¡¡ŽÜŽÀŽÞŽÈ¡£ŽÜŽÀŽÞŽÃŽÞŽÊŽÞ¡¢ŽÛ¡ü¡ü¡ü¡ª¡¡¹¥¤¤Ç¤¹¡ÖI had hard ¡ü¡ü¡ü¡ü¡×¡Ö¡ü¡ü¡üŽËŽÞŽÙ¡×¡£
¡¡¤ªµ×¤·¤Ö¤ê¤Ç¤¹¡ª¡¡¾Ð¡£¤³¤Î¤È¤³¤íÄ©Àï¼Ô¤é¤·¤¤³èư¤Ï¤·¤Æ¤¤¤Þ¤»¤ó¤¬¡¢ºòǯ¤ÏÂç´Ö¼õ¿®ÅÀ¡Ê¥ê¥ó¥°¥¢¥ó¥Æ¥Ê¡Ë¤ò¸«¤Æ¤¤Þ¤·¤¿¡£¥¹¥È¥Ó¥å¡¼¤Ç¸«¤Ä¤±¤Æ¤«¤é£³Ç¯¤¬·Ð¤Á¡¢¤è¤¦¤ä¤¯¸½¾ì¤òˬ¤ì¤ëµ¡²ñ¤òÆÀ¤Þ¤·¤¿¡£¤³¤Î¤Û¤«¡¢º£·î¤Ï»Ô±º¤Î°ë¾¾³¤´ß¤Ç½©ÅĶɤäÄᲬ¶É¤ò¼õ¿®¤·¤¿¤ê¤È¡¢Â©È´¤ÄøÅ٤˻î¤ß¤Æ¤¤¤Þ¤¹¡£
¡¡¤µ¤Æ¡¢µ»ö¤Ë½Ð¤Æ¤¯¤ë¾åË̶ɡʱ¨Ë¹»Ò³Ù¡Ë¤Ë¤Ä¤¤¤Æ¤Ç¤¹¡£2013ǯ¤Ë£²ÅÙˬÌ䤷¤Æ¤ª¤ê¤Þ¤·¤Æ¡¢¤½¤ÎºÝ¤Ë¿§¡¹¤ÈÄ´¤Ù¤Þ¤·¤¿¡£°Ê²¼¡¢¤´Â¸ÃÎ¤ÎÆâÍÆ¤Ç¤·¤¿¤é¡¢²¿Â´¤´ÍƼϴꤤ¤Þ¤¹¡£
¡¡¾åË̶ɤǤÏÊüÁ÷ÇȤò¸úΨÎɤ¯³¬¾å³Ù¤ËÃæ·Ñ¤¹¤ë¤¿¤á¤«¡¢¶ÀÌ̥ѥé¥Ü¥é¥¢¥ó¥Æ¥Ê¤«¤é¤âÅÅÇȤòȯ¼Í¡ÊÊüÁ÷¡Ë¤·¤Æ¤¤¤Þ¤¹¡£ÊüÁ÷¶è°è¿Þ¤ÇÏ»¸ÍÄ®ÊýÌ̤ËÀå¾õ¤Ë¤Î¤Ó¤ëÈϰϤò¡¢¤½¤ÎÅÅÇȤ˸«Î©¤Æ¤ë¤³¤È¤¬¤Ç¤¤ë¤«¤È»×¤¤¤Þ¤¹¡£¤³¤Î¶ÀÌ̥ѥé¥Ü¥é¤ÎÍøÆÀ¤¬¹â¤¤¤æ¤¨¤Ë¡¢ERP¤¬ÉÔ¼«Á³¤Ë¹â¤¤ÃͤǤ¢¤ë¤È¹Í¤¨¤Þ¤¹¡£
¡¡ÅÅÇÈÅÁÈÂÌϵ¼·×»»¤ò¹Ô¤¦ºÝ¡¢¼¡¤Î¤è¤¦¤Ë¤·¤ÆÁí¹çÍøÆÀ¡Ê¶õÃæÀþÍøÆÀ¤«¤éʬÇÛ»¼º¤ä¶¦ÍѴﻼº¤Ê¤É¤ò¸º¤¸¤¿¤â¤Î¡Ë¤òµá¤á¤Æ·×»»¤·¤Æ¤¤¤Þ¤¹¡£
¡¡Áí¹çÍøÆÀ¡ÊdB¡Ë¡áLOG{¼Â¸úíÕ¼ÍÅÅÎÏ(W)¡¿ÊüÁ÷µ¡½ÐÎÏ¡ÊW¡Ë,10}¡ß10
¡¡¡ÊÎã¡ËÊüÁ÷µ¡½ÐÎÏ¡Ä10W¡¡¼Â¸úíÕ¼ÍÅÅÎÏ¡Ä540W¡¡¤Î¾ì¹ç
¡¡¡¡¡¡¡¡=LOG(540/10,10)*10
=17.3(dB)
¡¡Áí¹çÍøÆÀ¤Î¤Û¤«¤Ë¡¢¶õÃæÀþ³¤È´¹â¤È¼Â¸úíÕ¼ÍÅÅÎϤ«¤éµá¤á¤ë¡ÖÁ÷¿®µ¬ÌϡסÊñ°ÌdB¡Ë¤¬¤¢¤ê¤Þ¤¹¡£¤³¤Á¤é¤Ï¡¢20¡ßLOG¡Ð³¤È´¹©(m)¡ß¢å¼Â¸úíÕ¼ÍÅÅÎÏ(W)¡Ñ¤Çµá¤á¤é¤ì¤Þ¤¹¡£
¡¡¡¡¡ÊÎã¡Ë¶õÃæÀþ³¤È´¹â¡Ä100m¡¡¼Â¸úíÕ¼ÍÅÅÎÏ¡Ä500W¡¡¤Î¾ì¹ç
=20*LOG(100*SQRT(500))
=66.9(dB)
¡¡¤è¤²¤·¤ã¤Ù¤ê¤Ç¤¹¤ß¤Þ¤»¤ó¡Ä¡£¤â¤¦¤¸¤£´·î¤Ç¤¹¤Ê¤¡¡£¤»¤Ð¤Þ¤À¡¢ŽÛ¡ü¡ü¡ü¡ª
¤ª¤óŽÛްާ¡ü¡¢¥³¥á¥ó¥È¤¢¤ê¤¬¤È¤¦¤´¤¶¤¤¤Þ¤¹¡£
Áí¹çÍøÆÀ¤Î17.3dB¤Ï¿¿¿ô¤ËÌ᤹¤È¢â53.70¤Ç¤¹¤«¤é¡¢10W¡ß53.7¢â540W¤Ç·×»»¤â¹ç¤Ã¤Æ¤Þ¤¹¤Í¡£
Á÷¿®µ¬ÌϤȤ¤¤¦¤Î¤Ï½é¤á¤Æ¸«¤Þ¤·¤¿¡£
¾åË̤ϥѥé¥Ü¥é¤òÁ÷¿®¤Ë»È¤Ã¤Æ¤ë¤ß¤¿¤¤¤Ç¤¹¤¬¡¢¤ä¤Ï¤êÏ»¸ÍÊýÌ̤Υѥé¥Ü¥é¤¬ÍøÆÀ¤ò²Ô¤°¤ó¤Ç¤·¤ç¤¦¤Í¡£
ÌîÊÕÃϤÈÊ¿Æâ¸þ¤¤ÎÁХ롼¥×¤âƱ¤¸ÍøÆÀ¤È¤Ï»×¤¨¤Þ¤»¤ó¤·¡£
¥Ñ¥é¥Ü¥é¤ÈÁХ롼¥×¤ÎÅÅÎÏʬÇÛÈæ¤¬¤ï¤«¤ì¤Ð¡¢¥·¥ß¥å¥ì¡¼¥·¥ç¥ó¤âÀºÅÙ¤¬¾å¤¬¤ê¤½¤¦¤Ç¤¹¤Í¡£
Hello-ާޝ! ¤³¤Á¤é¤³¤½¡¢¤ªÊÖ»ö¤¢¤ê¤¬¤È¤¦¤´¤¶¤¤¤Þ¤¹¡ª¡ª
¥·¥ß¥å¥ì¡¼¥·¥ç¥ó¤ò»Ï¤á¤¿»þ¡¢ÊªÃ֤Υߥ«¥óÈ¢¤«¤é¡Ö¥Á¥ã¡¼¥È¼°¡×¡Ê¿ô³Ø¤Î»²¹Í½ñ¡Ë¤Ð½Ð¤·¤Æ¤¤Æ¡¢¤±¤Ã¤Ñ¤ê¤Þ¤·¤¿(¾Ð)¡£
¤ª¤Ã¤·¤ã¤ë¤È¤ª¤ê¤Ç¤·¤Æ¡¢ÅÅÎÏʬÇÛÈæ¤¬Ê¬¤«¤ì¤Ð¡¢ÅÏÅçÊ¡Åç¶É¤äÆó¸Í¶É¤Î¤è¤¦¤Ë¾å¼ê¤¯¥·¥ß¥å¥ì¡¼¥·¥ç¥ó½ÐÍè¤ë¤ó¤Ç¤¹¤¬¡Ä¾Ð¡£¾åË̶ɤò·×»»¤¹¤ëºÝ¡¢¥Ñ¥é¥Ü¥é¤¬¤Ê¤¤¤È²¾Äꤷ¤Æ¿ôÃͤòÆþÎϤ·¤Æ¤¤¤Þ¤¹¡£¤Ä¤Þ¤ê¡¢6L¤À¤±¤Ç¹Í¤¨¤Æ¤¤¤Þ¤¹¡£Ã±ÂÎÍøÆÀ¤ò12.3dB¤È¤·¡¢Â¾¶É¤ò»²¹Í¤ËÁí¹çÍøÆÀ¤ò²¾Äꤷ¤ÆERP¤ò¿ä¬¤·¤Æ¤¤¤Þ¤¹¡£
¾åË̶ɤϡ¢ÀÄ¿¹»ÔÆâ¤Ç¤ÎÈ¡´Û¶É¼õ¿®¤ä¹°Á°Ãϰè¤Ç¤Î½©ÅĶɼõ¿®¤ÎºÝ¡¢Ë¸³²ÇȤˤʤäƤ·¤Þ¤¤¤Þ¤¹¡£¤Ê¤Î¤Ç¡¢¥·¥ß¥å¥ì¡¼¥·¥ç¥ó¤ÎÀºÅÙ¤ò¹â¤á¤¿¤¤¶É¤Î¤Ò¤È¤Ä¤Ç¤¹(¾Ð)¡£
¤¢¤É£±¥«·î·Ð¤Ç¤Ð´Ñݯ²ñ¤À¤¸¤ã¡£ÄÅ·ÚËÌÉô¹°èÇÀÆ»±è¤¤¡Êº½ÂôίÃÓÀ¾Êý¤Î¥ê¥ó¥´±àÁ°¡Ë¤Ç¤ÎÈ¡´Û¶É¼õ¿®¡¢ÌïÀ¸¤¤¤³¤¤¤Î¹¾ì¤Ç¤ÎÆó¸Í¶É¼õ¿®¡¢ËÌÏÂÆÁ¹©¶ÈÃÄÃϤǤν©ÅĶɼõ¿®¡¢ºÂƬÀФǤÎÅÏÅçÊ¡Åç¶É¼õ¿®¡£¹°¡ü¤À¤Ã¤¤ã¡¢°Üư¼õ¿®³Ú¤·¤á¤ë¾ì½ê¡¢¤¿¤²¤¢¤ë¤¸¤ãŽÛ¡ü¡üޝ¡ª £´·î¤µ¤Ê¤ì¤ÐË»¤·¤°¤Ê¤ë¤É»×¤¦¤Ï¤ó¤Ç¡¢´Ñݯ²ñ¤È¸À¤ï¤ºº£·îÃæ¤Ë¡£YOU º£·îÃæ¤ËÍè¤Æ¤Þ¤ì¤¸¤ãŽÛް¡ü¡ü! ÌïÀ¸¤¤¤³¤¤¤Î¹¾ì¤¬ÆÃ¤Ë¤ª¤¹¤¹¤á¤Ç¤¹¡£¡Ö¤á¤ó¤³¤¤¤Î¹¾ì¡×¡£
¤»¤Ð¤Þ¤À¡£